Resiliency Overview
- Resiliency is a system’s ability to maintain its overall structure and function when disturbances act upon its network.
- Some examples include environmental systems, technological systems, and biological systems that are subject to environmental changes, errors, or failures. More resilient systems will be stable despite such perturbations.
- Loss of resiliency occurs when some bifurcation converts a stable fixed point into an unstable fixed point. Bifurcations occur when a changing parameter results in one or more fixed points undergoing stability transitions.
- Below is the equation of a 1D dynamical system (a flow on the line) with an adjustable parameter β.

Improved Model of Resiliency
- Gao et al. developed a higher-dimensional mathematical model to allow for better prediction of network resilience than past models.
- The main equation of this model is given below. Aij represents a weighted adjacency matrix, N is the number of nodes in the network, and x = (x1,…,xN)T is a vector representing the activities at each node. The function F(xi) describes the activity of each given node xi independent of the influences of other nodes. The function G(xi,xj) is a rule describing the influence of node xj on node xi.

- Disturbances to networks described by this equation might include gaining nodes or edges, losing nodes or edges, changes in edge weights, or changes in the values of parameters that are part of the functions F and G.
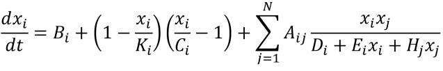
Resiliency Model Applied to Ecological Networks
- Below, this resiliency model describes abundance of species. The function xi(t) is the abundance of a species i. The parameter Bi represents the incoming migration rate of each species. The second term considers logistic growth with carrying capacities Ki as well as the Allee effect. According to the Allee effect, small populations, where xi<Ci will decline (negative growth). Finally, the third term describes mutualistic interactions between species xi and xj (i.e. plant-pollinator relationships). At high abundances of xi and xj, this term tends to plateau. The weighted adjacency matrix Aij represents the strengths of these mutualistic interactions. Di, Ei, and Hj are further adjustable parameters.

- The authors tested the resiliency of experimentally mapped ecological networks using this model. First, a fraction fn of the plant nodes was removed, simulating plant extinctions. Then, a fraction fI of the pollinator nodes was removed, simulating pollinator extinctions. Finally, the weights of the matrix Aij were randomly rescaled such that the average weight decreased to a fraction fw of the original average weight.
- Initially, the ecological networks each only possessed a single stable fixed point, xH. These fixed points described high average abundances among the species. Upon applying perturbations, the networks maintained stability until thresholds were reached. Each threshold was dependent on its network and the type of perturbation applied (plant node removal, pollinator node removal, or changes to edge weights). After passing the thresholds, each network gained an additional stable fixed point, xL. These fixed points described low average abundances among the species (an undesirable state).
- For example, network1 lost resilience after 35% of its pollinators were removed, while Network5 lost resilience only after 80% of its pollinators were removed.
Resiliency Model Applied to Gene Regulatory Networks
- Below, the resiliency model describes the activity of genes in coli and S. cerevisiae using Michaelis-Menten kinetics. The function xi(t) is the activity of a gene i. The first term represents the degradation rate (f=1) of a protein (from gene i). Alternatively, if the xi in the first term is squared (f=2), this term can represent dimerization. The second term describes gene expression levels, where the Hill coefficient h represents the level of cooperativity in the regulation of gene i by protein j. The weighted adjacency matrix Aij represents regulatory connections among the genes.

- By computing the average activity of all genes in a cell, the resiliency model provided a method of predicting cell viability. If a cell’s , then the model predicts that the cell will die. If a cell’s , then the model predicts that the cell will be viable.
- Once again, depending on the gene regulatory network and the types of perturbations, resilience loss occurred after thresholds (each specific to the network and the perturbation types) were crossed. The types of perturbations for this application included gene deletions, changes to the weights of regulatory interactions, and global environmental changes.