PDF Version: Notes on Banach and Hilbert Spaces – Logan Thrasher Collins
- Banach spaces are normed vector spaces with the property of completeness.
- Hilbert spaces are normed vector spaces with the property of completeness for which the norm is determined via an inner product.
- Hilbert spaces are always Banach spaces, but Banach spaces are not always Hilbert spaces.
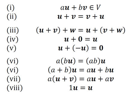
- A vector space is a set equipped with vector addition and scalar multiplication which also satisfies the following axioms for all scalars a,b and all vectors u,v,w.

- The norm of a vector space V is a function p on a field F (often the real or complex numbers) defined below. The conditions which must be satisfied include (i) the triangle inequality, (ii) absolute scalability, and (iii) positive definiteness.

- Norms are often denoted by double brackets as ||⋅|| with the dot indicating an arbitrary norm. Vectors and functions of vectors can also be placed between the brackets to indicate the norm on said vector or vector-valued function.
- The inner product of a vector space V is a function <⋅,⋅> which takes two elements of the vector space and maps them to the field F which the vector space is defined over. An inner product must satisfy the axioms of (i) conjugate symmetry, (ii) linearity in the first argument, and (iii) positive definiteness.

- Note that the linearity axiom of an inner product is sometimes defined with respect to the second argument (rather than the first), particularly in physics disciplines.
- When an inner product is defined, the norm and the inner product are related by the following formula.

- Completeness is a mathematical property of metric spaces. Normed vector spaces are a type of metric space, though vector spaces in general are not necessarily metric spaces. A metric space M is called complete if every Cauchy sequence of points in M converges to a limit L which is also in M.
- Cauchy sequences are sequences (xn)n∈ℕ within normed vector spaces for which distinct terms can be made arbitrarily close to each other if one goes far enough into the sequence. This is expressed by the following relation where ε denotes a distance.
![]()
- Convergent sequences are sequences (xn)n∈ℕ within normed vector spaces for which the following holds. For every distance ε, there exists an index N∈ℕ such that all terms beyond N have a distance to L less than ε. This is expressed below in symbolic form.

- Every convergent sequence is a Cauchy sequence and every convergent sequence has a unique limit.
- Some examples of Banach spaces include (ℝ, ||⋅||), (ℂ, ||⋅||), and (ℝd, ||⋅||2). For the first two cases, the norms are given by the absolute value |a – b| where a and b are real or complex numbers. The third case uses the Euclidean norm (x12+x22+x32+…+xd2)1/2 where xi are components of a d-dimensional vector x.
- Some examples of Hilbert spaces include ℝn with the vector dot product <u,v>, ℂn with the vector dot product <u,v*> (in which the complex conjugate of the second argument is taken), and the infinite dimensional Hilbert space L2 which is the set of all real-valued functions such that the inner product given below does not diverge.
