PDF version: Notes on nanoparticle self-assembly – Logan Thrasher Collins
Preparation of nanoparticle superlattices
- Nanoparticle superlattices can be prepared using solvent evaporation, solvent destabilization, or gravitational sedimentation methods.
- Solvent evaporation involves evaporating a nanoparticle-containing solvent to induce ordered aggregation of the particles. Note that many inorganic nanoparticles are insoluble in polar solvents and soluble in nonpolar solvents, though the presence of polar surface ligands can alter this behavior.

- Solvent evaporation techniques include (i) placing a small droplet of nanoparticle-containing solvent on a solid substrate and allowing for evaporation to occur, (ii) evaporating a nanoparticle-containing solvent from a tilted vial so as to control the orientation of the meniscus, (iii) placing a small droplet of polar solvent on a solid substrate and then adding a nonpolar nanoparticle-containing solvent over the top to facilitate aggregation in the thin layer of nonpolar solvent, and (iv) filling a tray with a polar solvent and adding nonpolar nanoparticle-containing solvent over the top to facilitate aggregation in the thin layer of nonpolar solvent.
- Solvent destabilization promotes gradual clustering of nanoparticle in solution via slowly changing the solvent conditions. Solvent destabilization techniques include (i) allowing for a polar and a nonpolar solvent to gradually intermingle and so facilitate a steady increase in the favorability of nanoparticle-nanoparticle interactions and (ii) heating a premixed solvent mixture that includes both polar and nonpolar components and so facilitating a controlled enrichment of the solvent with a higher boiling point. This increases the favorability of nanoparticle-nanoparticle interactions in a controlled fashion. Because many nonpolar liquids possess lower boiling points, the nanoparticle lattices prepared in this way may require nanoparticles equipped with polar surface ligands.
- Gravitational sedimentation is less common than the other techniques since many nanoparticles are small enough to remain dissolved in spite of gravitational forces. But very large nanoparticles (100-1,000 nm) often do sediment, facilitating close-packing and the assembly of superlattices.
Characterization of nanoparticle superlattices
- Transmission electron microscopy (TEM) is used to visualize nanoparticle superlattices directly. As TEM requires very thin slices, it makes 2-dimensional images of nanoparticle superlattices.
- TEM operates best when there is a high contrast between the atomic number of the nanoparticles and the atomic number of the background support structure. For instance, PbS is easily imaged on a carbon support.
- To circumvent issues that arise with atomic number contrast, ultrathin (i.e. graphene) supports or supports that possess numerous holes can be used. Ultrathin supports absorb less electrons while “holey” supports allow some nanoparticles to be positioned over the holes during imaging, preventing background absorption.
- TEM often requires a vacuum chamber and so necessitates dry samples, meaning that superlattice structure can be visualized after removal of the solvent, but snapshots of the self-assembly process cannot be taken. However, recent investigations into designing liquid-cell TEM may circumvent this problem.
- Scanning electron microscopy (SEM) generates 3-dimensional images via a scanning electron beam and so is useful for imaging nanoparticles and
nanoparticle superlattices that exhibit some kinds of notable 3-dimensional geometric characteristics. - Atomic force microscopy, a technique in which a nanoscale probe is moved across a sample to reconstruct its shape via a “sense of touch,” has also been used for nanoparticle superlattice characterization.
- Images of repetitive superlattices are amenable to processing with two-dimensional fast Fourier transforms (FFTs) that can reveal insights about the lattice’s characteristics. Performing this form of FFT upon an image of a repetitive crystal structure creates a plot of spatial frequencies. This plot is said to display reciprocal space (or Fourier space).
- Distinct points on the reciprocal space plot correspond to certain properties of the lattice that are sometimes not apparent from the image prior to the FFT. In this way, very similar lattices can be clearly distinguished.
Kinetics of nanoparticle superlattice formation
- Homogenous nucleation occurs in solution and requires overcoming a nucleation barrier while heterogenous nucleation occurs as nanoparticles are added to a preexisting seed crystal. Homogenous nucleation typically leads to disordered solids and is typically much slower than heterogenous nucleation.

- In heterogenous nucleation, crystal growth occurs at differing rates depending on how many new contacts are formed (assuming attractive interparticle interactions). If more new contacts occur upon the addition of a nanoparticle, the process will exhibit grater energetic favorability and occur at a faster rate.
- This means that adding nanoparticles to kinks and vacancies happens more rapidly than the adsorption of nanoparticles to steps, terraces, and “adatoms” (see figure at right). As such, large scale structures that minimize surface energy tend to form.
Thermodynamics of nanoparticle superlattices
- As mentioned, if superlattice assembly occurs rapidly, disordered aggregates can form. Allowing the process to occur more slowly facilitates sampling of many states as assembly proceeds. As such, the most thermodynamically stable structures can form when gradual assembly is performed.
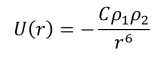
- Van der Waals interactions between nanoparticles are often approximated using the following pair potential equation. U is the potential energy for the interparticle interaction, C represents a proportionality constant for the interparticle interaction, ρ1 and ρ2 are the number of atoms per unit volume in two interacting bodies, and r is the distance between the bodies.

- For nanoparticles with volumes V1 and V2, the total van der Waals energy of attraction is obtained by the following integral that performs a pairwise summation of all the atomic van der Waals interactions.

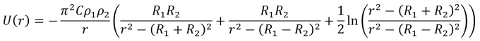
- If two nanoparticles are spherical with radii R1 and R2, the integral can be solved analytically to give their interparticle potential energy.

- When the distance d between two nanoparticles is much less than the radius of either nanoparticle, the above equation can be approximated using the following formula.

- For many nanoparticles without chemical ligands, these van der Waals interactions would cause rapid aggregation in solution. However, the presence of certain surface ligands gives repulsion that maintains colloidal solutions of nanoparticles.
- In order to convey repulsive effects between nanoparticles, the surface ligands require a proper solvent. Such solvents exhibit negative free energy upon ligand-solvent mixing. That is, interactions between the surface ligand and the solvent are energetically favorable.
- Surface ligand repulsion includes an osmotic component and an elastic component. As the solvent molecules are sterically blocked by surface ligands, when the surface ligands of two nanoparticles start to interact, the volume that the solvent cannot enter increases. This situation is osmotically unfavorable, so osmotic repulsion occurs. When surface ligands are compressed because two nanoparticles are close to each other, elastic repulsion occurs.
- When a solution of nanoparticles with surface ligands that are attracted to each other (i.e. hydrophobic chains) is dried, the ligands begin to freeze together rather than experiencing repulsion.
- Equilibrium superlattice structures minimize the free energy G in terms of enthalpy U and entropy S according to Gibb’s equation ΔG = ΔU – TΔS.
- The contributions of cores and ligands can be decomposed into the terms ΔUcores, ΔUligands, ΔScores, and ΔSligands. The energy terms can be further broken down into the components of van der Waals interactions (London dispersion forces, dipole-induced dipole interactions, and dipole-dipole interactions). The entropy terms can be further broken down into configurational, rotational, and translational components.
Reference: Boles, M. A., Engel, M., & Talapin, D. V. (2016). Self-Assembly of Colloidal Nanocrystals: From Intricate Structures to Functional Materials. Chemical Reviews, 116(18), 11220–11289. https://doi.org/10.1021/acs.chemrev.6b00196