PDF Version: Notes on Quantum Mechanics – Logan Thrasher Collins
Fundamentals
- The Rydberg equation gives the wavelength of the photon emitted when an electron moves from an excited state ni to a lower energy level nf. Here, R is the Rydberg constant, R = 1.097107 m-1.

- For electromagnetic waves the speed of light c, the frequency, and the wavelength are related by f=c/λ.
- Particles exhibit a wavelength called the de Broglie wavelength, which can be computed using Planck’s constant h = 6.62610-34 m2kg/s over the momentum mv.

- The energy of a wave (in J) is given by the equation below.

The Schrӧdinger Equation
- Any particle can be described by a wave function ψ(x,y,z,t). In 1D, the wave function is ψ(x,t). The physical meaning of the wave function will be explained in the next section.
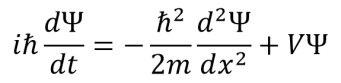
- The 1D Schrӧdinger equation relates a particle’s wave function ψ(x,t), its potential energy V, and its total energy. Solving this differential equation gives a formula for the wave function of a particle. The symbol ℏ represents the reduced Planck’s constant, h/2π.

- For the 3D case, the Laplacian operator ∇2 (the sum of the second partial derivatives) is used.

Interpreting Wave Functions
- The wave function completely specifies the state of a quantum mechanical system. However, in many cases this state cannot be measured without altering the system, so the wave function can only be interpreted in terms of probability.
- To interpret a wave function, operators corresponding to measureable quantities must be used (i.e. position, momentum, energy, etc.)
- The expectation value represents the average value that a quantum mechanical system takes on for a given physical quantity. However, this “average” comes with a caveat. When a measurement of a quantum system is taken, a phenomenon known as wave function collapse occurs. This changes the system in a way which prevents the average of multiple measurements from approaching the expectation value. Instead, the expectation value can be thought of as representing the average value which would occur if the same measurement was taken from many identical quantum mechanical systems (but just a single time from each).
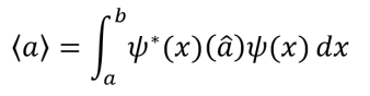
- To compute the expectation value given an operator â (which corresponds to some physical quantity a) over a 1D domain, the following integral is used. An analogous triple integral is used for the 3D case. ψ* represents the wave function’s complex conjugate (the sign of any imaginary part is reversed).

- This integral also requires that the wave function be multiplied by a normalization constant A. The normalization constant is essential since it adjusts the total probability that the particle’s physical quantity (i.e. position) will fall somewhere in the domain (-∞,∞). For position, this means that the particle exists somewhere in space. To compute the normalization constant, solve the following integral for A.

- Below, a table of operators corresponding to physical quantities is given for 1D and 3D cases.

Uncertainty in Quantum Mechanics
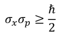
- Since measurement via light or any other mechanism will impact a quantum mechanical system, the momentum and position of a particle cannot be known simultaneously.
- The more precisely a particle’s momentum is known, the less precisely that particle’s position is known and vice versa. This is quantified by the Heisenberg uncertainty principle.

- To compute the standard deviation for some physical property (associated with an operator â) in a quantum mechanical system, the equation below can be used.

Solutions to the Schrӧdinger Equation
- Solutions to the time-independent Schrӧdinger equation (called stationary states) can be converted into solutions to the time-dependent Schrӧdinger equation using a complex exponential as shown below.
![]()
- When dealing with expectation values, the complex exponential term cancels since the time-dependent wave function times its complex conjugate gives the result ψ(x)2e-iEt/ℏeiEt/ℏ = ψ(x)2e -iEt/ℏ+iEt/ℏ = ψ(x)2. As such, measureable quantities associated with the wave function’s stationary states are constant through time.
- The general solution to the Schrӧdinger equation follows the principle of superposition. For this reason, linear combinations of solutions are also valid solutions. Note that the coefficients can be complex.

- The time-independent Schrӧdinger equation can be solved using the method of separation of variables (a technique for partial differential equations) and solving for boundary conditions.
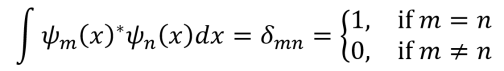
- The infinite set of solutions to the Schrӧdinger equation are orthonormal, a property expressed by the relation involving the Kronecker delta below.

- In most cases, any function f(x) can be expressed as a linear combination of the infinite solutions to the Schrӧdinger equation (this property is called completeness).

- The nth coefficient for the Fourier series expansion of f(x) can be computed using the equation below.
