PDF version: Notes on nanoparticle physics
Nanoparticle surfaces
- Because of their small size, populations of nanoparticles possess very large surface areas.
- The surface area to volume ratio R for a single spherical nanoparticle with diameter d, surface area a = πd2, and volume v = πd3/6 is given below. Note that, as the value of the diameter decreases, the surface area to volume ratio increases.

- The surface area per mole of spherical nanoparticles can be expressed using the following equation. M represents the molecular weight of one nanoparticle, A is the surface area per mole of nanoparticles, ρ describes the density of the nanoparticles in the solution, and n is Avogadro’s number.

- Due to their high surface areas, populations of nanoparticles tend to aggregate via Van der Waals forces and sometimes other attractive forces.
- The surface layer, a layer that represents the region of transition between the material of the nanoparticle and the outside world, makes up a significant portion of the nanoparticle’s volume. Depending on the specific property under investigation, this layer’s thickness can usually be regarded as between 0.5 nm and 1.0 nm.
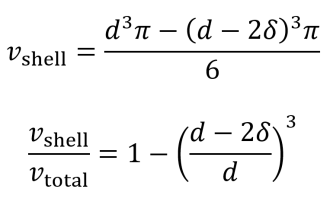
- To compute the volume of a surface layer with thickness δ, use the first formula below. The ratio of the surface layer’s volume to the total volume is given by the second equation below.

- Surface energy is the energy required to form new surfaces via the process of breaking an object into two or more pieces.
- For populations of nanoparticles, this means that the
surface energy describes the energy driving each patch of nanoparticle surface to aggregate with other patches of nanoparticle surface. The surface energy for a nanoparticle with surface area a is given by the following equation where γ is the energy required to separate a single unit area of surface between two coagulated nanoparticles.

- Nanoparticles can coagulate and cause a rapid increase in temperature due to their large surface area and the exothermic reaction of surface energy release. The change in temperature (in Kelvin) from this flash can be computed using the following equation where M is the molecular weight of one nanoparticle, ρ is the density of the nanoparticles, and Cp represents the heat capacity of the system.

Diffusion within nanoparticles
- According to solutions of the diffusion equation, the mean square diffusion distance of a population is proportional to the diameter of the diffusing objects. Here, the diffusion coefficient D is multiplied by a factor of six because a three-dimensional system is assumed. This value is four in the two-dimensional case and is two in the one-dimensional case.
![]()
- For diffusion of particles within a solid (i.e. a nanoparticle), the diffusion coefficient can be modeled using the following temperature-dependent equation. T is the temperature in Kelvin, Ea is the activation energy for diffusion, D0 is a proportionality constant, and k represents Boltzmann’s constant.
![]()
- Because of their small size and the physics described above, diffusion inside of a nanoparticle occurs very rapidly. If the nanoparticle’s diameter is assumed as the length of the diffusion path, then halving the diameter leads to a four-fold decrease in the time needed for diffusion.
- Since diffusion occurs so rapidly within a nanoparticle, homogenization takes milliseconds. In general, any thermally activated reaction inside a nanoparticle will happen almost instantaneously. As such, nonequilibrium states usually are not stable in nanoparticles (unlike with many conventional materials).
Thermal energy and state fluctuations
- Every nanoparticle possesses a thermal energy that is proportional to temperature. Furthermore, every nanoparticle favors a state of minimum energy. The energy difference between the lowest energy state and a higher energy state often depends on the nanoparticle’s mass. Since nanoparticles have very small masses, their thermal energy is sometimes larger than the energy difference between the states. As a result, the nanoparticle can fluctuate among the states.
- Thermal energy of an isolated particle is given by uthermal = kT where T is the temperature in Kelvin and k represents Boltzmann’s constant. If the following inequality is true, then the nanoparticle’s state fluctuates.
![]()
- To provide a concrete example, consider the thermal energy necessary to lift a nanoparticle of density ρ and volume V from elevation x1 (its minimum energy state) to elevation x2 (its higher energy state). If the inequality below is satisfied true, then the nanoparticle jumps between elevation zero and elevation x due to its thermal energy.
![]()
Reference: Vollath, D. (2013). Nanoparticles – Nanocomposites – Nanomaterials: An Introduction for Beginners. Wiley.